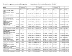
En el Boletín Oficial del dia de hoy, 2 de junio, se publicó la resolución con los nuevos aranceles para las Prestaciones básicas para personas con Discapacidad:
- Aranceles_2016_1
- Aranceles_2016_2
En el Boletín Oficial del dia de hoy, 2 de junio, se publicó la resolución con los nuevos aranceles para las Prestaciones básicas para personas con Discapacidad:
Modulo de apoyo a la integración escolar y modulo maestro de apoyo:cual es la diferencia?
Me interesa saber lo mismo cual es la diferencia entre módulo de apoyo a la integración y módulo maestro de apoyo
hola, el modulo de apoyo a la integracion escolar es para los equipos que trabajan con un niño y el modulo de apoyo es lo que se le paga al maestro que acompaña en aula, saludos
hola quisiera saber si entro en prestadores de apoyo soy acompañante terapéutico
Hola.Acmpaño a un niño Asperger en la escuela. Quería saber si tengo que cobrar como modulo de apoyo a la integración escolar o módulo maestra de apoyo??gracias
Modulo de apoyo a la integración escolar es lo que factura el centro de integración. Módulo maestro de apoyo es si sos integradora independiente. El profesional siempre gana lo mismo, el valor módulo maestro de apoyo, que es menor.
Cuando se factura módulo de apoyo a la integración escolar, el centro se queda con la diferencia, porque se supone que te supervisan, etc…
hola cual la diferencia de modulo de apoyo a la integracion, y modulo del maestro de apoyo.-
Gracias por informar y comunicar .
Transporte con dependencia cuanto cobra?
Es el valor que dice el nomenclador más un 35 % sobre ese precio ojo que para que te reconozcan con dependencia tenes que pedir a tu obra social la escala FIM para que lo complete el médico de cabecera del discapacitado se evalúa por puntuación que va del 0 al 7 ojo con esto prueba para que sea con dependencia la escala tiene que dar hasta 70 puntos porque si da de 7 para arriba te lo toman como sin dependencia y es la tarifa plana del nomenclador aclaró esto porque ni la obra social ni la prepaga te lo dice saludos
Hola buenas tardes yo trabaje como acompañante terapéutico con un nene en colegio y la obra social tardo 5 meses en pagarme, y el centro aparte a mí me pide el 30% esto está bien
Hola, te consulto por la facturación del mes de julio donde están la vacaciones, se factura el total del mes o los meses asistidos??
Soy un taxi que lleva a un nene discapacitado a un centro de día.-
MuchaS GRACIAS!!
En gral. se deberian facturar los viajes efectivamente realizados, que seguramente serán de 10 dias hábiles, ya que los otros 10 fueron vacaciones.
Al menos, eso hacen siempre en mi caso, a menos que se hayan realizado otros traslados de la persona.
Saludos
Guillermo.
eso lo tenes previsto en el presupuesto cuando haces el presupuesto anual ya descontas los dias de vacaciones igual como haces con sabados , domingos y feriados
y los valores del acompañante terapeutico cuanto es
si yo queria saber lo mismo
muchísimas gracias por la información!!
Hola soy enfermera d ninos con discapacidad con internacion domiciliaria, cual debe ser mi facturacion x hora?
Buenas tardes: MI mamá requiere una persona que la acompañe. Tiene certificado de discapacidad motriz y actualmente estamos en tramite de extender a discapacidad por demencia senil.
Donde debo buscar el monto actualizado de arancel por acompañante (Cuidador).
Leo varias consultas al respecto y envían al listado de la Resolución 692/2016, pero no encuentro el ítem. Muchas gracias!
Buenas tardes, quisiera saber a que prestación del nomenclador equivale el acompañante terapéutico ya que este ítem no aparece
Muchas gracias
El AT no esta nomenclado. El valor depende de lo que pague el equipo al que pertenece .
Buenos dias:
Por escolaridad cuantas cuotas se cubren, ademas de la matricula.?
Hola, a alguien le cubren la cuota de la escuela comun y especial? saben como es el tema? Saludos y Gracias!
En mi caso, mi hija va a un CET y lo cubre la OS.
Con el Certificado de Discapacidad, esto esta determinado en los Aranceles de las Prestaciones Básicas para las personas con Discapacidad:
http://praderwilliar.com.ar/archivos/Aranceles_2016.pdf
Los aranceles para el CET estan en la 3ra. y 4ta. linea, segun la modalidad y la Escolaridad, está un poco mas abajo.
Saludos
hola mi hijo tendra proximo año con acompañante escolar o maestra integradora…una maestra especial…como paga iosper…como maestra de apoyo o maestra especial?
bUENOS DIAS. QUISIERA SABER SI HAY ALGUNA RESOLUCIÓN EN CUANTO AL MONTO QUE DEBE COBRAR COMO ACOMPAÑANTE TERAPÉUTICA. MUCHAS GRACIAS
Hola: El AT no tiene un valor establecido. En gral. siempre está dentro de un equipo y alli se arregla el valor hora que les pagan.
Hola: pero el arreglo lo hacemos con los padres pero son las obras sociales que le reitregan a ellos. y no todas las obras sociales le pagan a los padres lo que se cobra. como es el tema?
DEberian pagarle por lo que está estipulado para cada prestación, según la resolución vigente, sino deben hace el reclamo corrrespondiente
ok.gracias.pero como esta un acompañante terapeuta en los aranceles de las prestadoras.? como figuran? gracias
El AT no figura. No tiene un valor establecido .
El gral. Hay un equipo multidisciplinario prestador y ellos tienen los AT y les pagan, pero no se de donde sacan el valor hora.
Por ejemplo una obra soacila le reintregran el 100 / y otras muy poco ….porque.es?
No sabría decirte. Hay que ver que presentaron como plan de trabajo o proyecto . Tal vez ahí este la diferencia .
Hola!! Soy maestra de apoyo. Me pagan con la categoría módulo maestra de apoyo la obra social no me quiere pagar los aumentos. Son obligatorios los aumentos? Que hago para que me los paguen?
Valeria: los valores ya están estipulados en la resolucíon , inclusive los aumentos, los cuales deben ser pagados con esos importes, sin discusión.
Saludos
Actualmente esta en tratamiento la ley de regulación del ejercicio profesional del AT. Con normativas como que este incluida la prestación por TODAS las OS. El valor de la hora es muy variable, ya que no como profesionales no estamos incluidos en un nomenclador aún. Depende de lo acordado por las partes. Saludos
Buena noticia. Esperemos que pueda aprobarse.
Hola, soy maestra de apoyo, presente a osecac en marzo los papeles pero con valor de ese momento 6,658 y aun me encuentro trabajando. Quiero saber si a partir de los aumentos me van a pagar los meses que correspondan al valor actualizado? y que hacer si no aceptan pagar lo que corresponda. Muchas gracias.
Jorgelina: a medida que va cambiando el valor de la prestación, no hace falta actualizar la presentación en la obra social. Se actualiza automáticamente. Es decir que te tienen que pagar cada mes, según el valor vigente en el mes que hiciste la prestación.
Hola, necesito orientacion, quiero enviar a mi hijo a una escuela privada para lo cual ya tenemos el certificado de discapacidad, mi pregunta es: ¿la obra social ioma u osecac pagan lo que a ellos les parezca respecto a la cuota mensual y el resto lo tengo que poner yo o estan obligados a cubrir todo?Gracias.
Martín: pagan lo que ya está establecido por la resolución vigente en cada momento. Eso los colegios ya lo saben y lo facturan así.
Otro tema son los plazos de pago que, en algunos casos, pueden pasar varios meses hasta que te pagan las facturas presentadas.
Ahí tenes que hablar con el colegio para ver si ellos te esperan el tiempo que demora el pago por parte de la OS o si tenes que pagar vos y cuando hacen el reintegro, ahí te queda para vos.
Hola buenos días, Osecac paga lo que dice el nomenclador. Ioma no, no tienen acuerdo con el nomenclador nacional, entonces pagan aproximadamente el 40 porciento menos.
Consulta: alguien podría decirme si los valores del nomenclador incluye IVA o se les debe cargar o no segun su condicion ante AFIP Gracias.
El IVa es el impuesto al valor agregado y esta relacionado a un producto. Nosotros ofrecemos servicios, el iva no aplica a servicios. saludos.
Estas informando como cierto, algo que escuchaste en algun lado, y esto puede salirle caro a gente que esta trabajando.
La actividad esta gravada por IVA e Impuesto a las Ganancias, si el que la desarrolla esta inscripto en regimen general.
Hola, soy maestra de apoyo. En agosto empece a trabajar, quisiera saber cada cuanto se actualizan los montos. Tengo entendido que el ultimo fue en Julio, si podrían orientarme se los agradecería, porque la obra social me pide un informe en caso de que se disponga de un nuevo valor. Muchas gracias!
Hola Micaela: efectivamente, la última actualización rige desde el 01/07/2016.
Acá está el link de la publicación en el boletín oficial https://www.boletinoficial.gob.ar/#!DetalleNorma/146054/null
Que podes imprimir y llevarles.
Saludos
hola soy kinesiologa respiratoria quiero saber si el valor estipulado para la prestaciòn ambulatoria es por sesion o por hora? la obra social puede hacerme un valor proporcional por una sesion de 45minutos?
Es por sesion. Vos tenes que detallar X sesiones y listo (cuanto duren es otro tema).
Hola! Estoy trabajando bajo la denominación módulo maestra de apoyo mensual. La autorización dice cantidad 1 (módulo) sin copagos. Que significa? Cuantas ha cubre la obra social?
hola buenas noches. Soy Gabriela y estoy como maestra integradora de un niño en sala de 5 años diagnóstico: retraso madurativo, trastorno madurativo del lenguaje y comunicación. disfunción de modulación sensorial del tipo vestibular táctil y propioceptiva … mi duda es: todavía la obra social no aprueba la carpeta del niño para reconocer mis honorarios… los padres me están pagando particularmente..cuánto debería cobrar? trabajo 16 hs por semana desde abril, y ahora en octubre reduzco a 10 hs por semana..
buenos días, quisiera saber si hay aumento de nomenclador de discapacidad en octubre 2016, gracias
Esther: la ultima actualización de este año rige a partir del 01 de Julio.
http://praderwilliar.com.ar/archivos/Aranceles_2016.pdf
Gracias
Saludos
Cuanto se cobra la hora por atención psicológica en un geriatrico (establecimiento residencial para adultos mayores) categoria A y C.
Gracias de antemano.
Para mi es «Prestacion de apoyo», que hoy esta a $361,89 x hora.
http://praderwilliar.com.ar/archivos/Aranceles_2016.pdf
Buen dia: en el caso de que no quieran cumplir con el aumento establecido por la resolución N° 692/2016, que medida administrativa y/o judicial será procedente?
Yo creo que presentando un amparo, a traves de un abogado, deberia alcanzar. No tienen excusas para no pagar la actualizacion de la prestacion, como ya está establecido.
La diferencia, si no se facturó en su momento, la hacer ahora y listo.
Suerte.
Hola! quería consultar si saben a partir de cuando es el próximo aumento del nomenclador. Desde ya muchas gracias. Saludos!
No lo sabemos, pero en gral., sale para Febrero o Marzo de cada año.
Hola! Querría saber cuál es la diferencia entre «MÓDULO MAESTRO DE APOYO» y «MÓDULO DE APOYO A LA INTEGRACIÓN ESCOLAR». Una integración en 6° grado para un nene con TGD, en cuál de esas dos categorías entra? Muchas Gracias!! Saludos!
Hola soy kinesiologa y trabajo para una empresa domiciliaria mi paciente tiene certificado de discapacidad y me han dicho que corresponde que me paguen el valor APE. Quería saber cuanto me corresponderia cobrar y si me corresponde???
hola quería saber cuanta puntuación tiene que tener la escala fin para el transporte con dependencia, gracias
la acompañante terapeutica de mi hijo es monotributistA SOCIAL,SOLO me puede facturar $ 4.ooo. por mes que es lo que la pre paga me reconoce. Y0 le pago $ 11.800 ´por mes, que puedo hacer para recuperar esa diferencia, ya que la pre paga me exige factura por el total que le pago. gracias
Hola margarita, yo soy AT pero la obra social no me aprobó mas de 8000 pesos de presupuesto. Si la tuya te lo aprueba, tu acompañante debería facturarte el total de los honorarios así te cubre todo !
Hola Ines te consulto soy acompañante terapeutico y quisiera saber ademas que te aprobaron ese presupuesto cual es la carga horaria semanal porque tengo que realizar un presupuesto , perdon el atrevimiento pero me guiarias muchos ,muchas gracias
Hola queria consultar si saben el importe tope del transporte libre (esto es, cuando se excede una cierta cantidad de kilometraje estipulado). Gracias
Hola, buenos días. Mi hijo tiene SD y va a un colegio privado subvencionado por el Estado. Con CertdDiscap la Obra social tiene que cubrirme la cuota mensual del Colegio?
y vi el cuadro de valores, hay categorías; en qué se basa esa clasificación?
gracias desde ya!
hola !! buenas noches quisiera saber como son los aumentos de la resolución 2001/ 2016 puesto que según los porcentajes no estaría bien . necesitaría si me aclaran la duda porque sino voy a facturar según aparece en la página. desde ya gracias
HOLA SOY MAESTRA DE APOYO, ENVIÉ MI PRESUPUESTO A OSECAC PERO NO ACTUALIZARON EL MONTO DE FEBRERO, ME DICEN QUE ES PORQUE ME INCLUYERON EN UN PLAN DE TRATAMIENTO INTENSIVO, ¿ES POSIBLE QUE ME PAGUEN MENOS POR ESO?GRACIAS!
Consulta, como calculo la Hora de Acompañante Terapéutico?
Muchas gracias.
Actualmente esta en tratamiento la ley de regulación del ejercicio profesional del AT. Con normativas como que este incluida la prestación por TODAS las OS. El valor de la hora es muy variable, ya que como profesionales no estan incluidos en un nomenclador aún. Depende de lo acordado por las partes. Saludos
Hola quisiera saber cuántas horas por semana cubre el módulo de maestro de apoyo.Gracias
buenas noches quisiera saber como sera la nueva modalidad o normativa de pago,soy de sgo del estero y hasta setiembre me dijeron q me pagaban las obras sociales,hablando de discapacidad siempre,y ahora me entere q directamente hara la transferencia a los prestadores superintendencia de servicios de salud.
soy kinesiologo .
gracias
y otra duda es con obras sociales q me adeudan 6 meses como me pagaran!!!!
porfa si me podes responder al mail te agradeceria mucho por q no se como encontrar de nuevo este blog
por favor me podrían decir las funciones específicas del AT, cuando trabaja solo no en equipo. Un Psicòlogo social puedes ser AT, muchas gracias y saludos, la paciente tiene certificado de discapacidad motriz y vive sola
como se calcula aprox las horas, la paciente necesita 8 hs. diarias todos los días, eso surge del Nomenclador? muchas gracias !!
Hola. Estoy por entrar a trabajar en un Cet, soy maestra especial y cumpliría mi rol en integración escolar. Me quieren pagar la hora a $130, y me dijeron que se basaban en el modulo de maestro de apoyo… Pero al mirar el nomenclador me doy cuenta que el precio de la hora es más elevado a lo que me quieren pagar… Quería saber si yo estoy en lo cierto o está bien lo que me quieren pagar? Gracias.
hola, estoy en una situación similar, tengo q hacer una integración en nivel inicial de esc común de lun a vier 3hs por día. Desde el centro donde trabajaría dicen que yo le facture a OSDE y que ellos abonan entre $160 y $170 la hora. Viendo los nuevos valores no me estarían pagando unos $5000. Hace poco me recibí y este es mi 1ºtrabajo como integradora, necesito mucha ayuda o orientación!!! gracias
hola soy estimuladora temprana quería saber si a partir de las dos sesiones domiciliarias corresponde cobrar el modulo completo necesitaría la información para presentar presupuesto a la obra social gracias
Hola, quería consultar si alguien me puede guiar, porque necesito hacer un presupuesto como Acompañante Terapéutico para presentar en la obra social del paciente. El arancel de la hora de acompañamiento según esta resolución, cuánto sería? es la categoría de prestadores de apoyo?es decir: $ 361, :/
Hola! En la resolución 2001/e 2016 se dio un 12,5% de aumento al módulo maestro de apoyo. Sin embargo en el anexo, los meses de Octubre y Noviembre no se corresponden con dicho aumento. El valor correcto sería $9363,84. Fui personalmente a la superintendencia de servicios de salud. Me reconocieron el error, pero dicen que eso depende del Ministerio de salud y que no pueden hacer nada. Me sugirieron presentar un escrito en el Min, de salud y la CONADIS. Propongo que todos aquellos que puedan, lo hagan también. La obra social a la que facturo, rechazó la diferencia, basandose en el anexo.
Hola! Quisiera saber si un Centro Educativo terapéutico que esta registrado como una srl puede cambiarse a ser una fundación? Puede ser que debamos pedir ser exentos IVA? Porque iniciamos a pulmon pero los primeros pagos que nos hacen nos quitan mucha plata en impuestos. Muchas Gracias
Buenas Tardes
Los consulto por que de la obra social me dicen que ha cambiado el sistema de reintegro de las prestaciones de rehabilitación que tiene mi hijo que es un discapacitado total.
Saben algo sobre este tema?
Desde ya gracias y saludos
Antonio
Hola soy papa de mellizos con TGD, están ingresando en sala de 4 con Maestra de apoyo; los aranceles están claros. Tenemos una duda con respecto a cuanto cubre en horas el Módulo Maestro de Apoyo. La carga horaria del colegio es de 9 a 13 hs, de Lunes a Viernes. La obra social (prepaga) nos dice que eso es 1 módulo maestro y las prestadoras nos dicen que corresponden a 2 modulos maestros, cosa que la prepaga por supuesto no cubre. Me podrían ayudar con este tema. Gracias. Saludos
HOLA QUERÍA SABER COMO HACER UN PRESUPUESTO PARA UNA OBRA SOCIAL, YA QUE EL NIÑO NECESITA UN ACOMPAÑANTE DE TRASLADO EL CUAL SE QUEDE EN LAS TERAPIAS. QUE PRECIO ESTARÍA LA HORA APROXIMADO . DESDES YA MUCHAS GRACIAS
hola quisiera saber a cuanto se va km en marzo gracias
Hola Enrique: segun la Resolucion 2239 – E/2016, del 15/12/2016: http://www.solesdebuenosaires.org.ar/Leyes/Res-2239-E2016.html
A partir del 1 de Marzo sube un 12,5 % sobre el valor actual ($12,89 x Km), por lo que pasaria a pagarse aproximadamente $14,46 el Km.
Saludos
Hola! Soy psicologa y este año trabajaré como acompañante terapéutico con un niño en institución escolar por 20hs semanales.
Queria consultarles cual es el nomenclador que corresponderia facturar, ya que la contratacion es directa, sin intermediarios de equipo; y tambien por cuantas horas estan establecidos los modulos, 10hs semanales o 20?
Muchas gracias!
Me podran decir el valor Km. trasporte a Partir Enero 2017, Gracias
Hola Sebastian: segun la Resolucion 2239 – E/2016, del 15/12/2016: http://www.solesdebuenosaires.org.ar/Leyes/Res-2239-E2016.html
Valor actual $12,89 x km. A partir del 1 de Marzo sube un 12,5 % sobre el valor actual ($12,89 x Km), por lo que pasaria a pagarse aproximadamente $14,46 el Km.
Saludos
soy at, de un niño en un colegio , y yo estoy anotada en un centro quisiera saber que modulo me corresponde del nomenclador
hola, soy maestra de educacion especial, realizo integraciones; consulta: cuantas horas se cumplen por el modulo de maestro de apoyo? me dijeron 8hs semanales minimo, pero cuanto es el maximo mensul?
hola soy maestra de apoyo en el aula. como veo el importe a cobrar por cuantos modulos o hs semanales es? gracias
Queria saber cuantas horas semanales hay que cubrir en el modulo maestra de apoyo mensual
hola. quisiera saber la diferencia entre el modulo maestro de apoyo y maestro de apoyo por hora? trabajo con un alumno con tea y cumplo 60 hs en la escuela. gracias
Buenas tardes, soy AT ioma me realizo una transferencia pero no se a que mes corresponde, quiero saber si hay alguna pagina en donde pueda ver de que periodo se trata la transferencia que me realizaron.
Hola, quisiera saber que se esta cobrando hoy 2017,la hora particular, sin obra social,del asistente terapéutico.
Necesito información lo antes posible soy de Rosario.
Aguardo rta muchas gracias.
Saludos.
hola. Quisiera saber que se está cobrando hoy 2017 la hora de AT en forma privada.
Gracias por la información!!
Hola, quería saber cuántas horas semanales se deben cumplir para cobrar el modulo maestra de apoyo?
Yo siempre cumplí 20hs semanales pero ahora solo voy a trabajar 16hs, y quiero saber si corresponde el mismo pago.
Gracias
Hola! Soy at y este año trabajaré como acompañante terapéutico con un niño en institución escolar por 20hs semanales.
Queria consultarles cual es el nomenclador que corresponderia facturar, ya que la contratacion es directa, sin intermediarios de equipo;
Muchas gracias!
como profesor de educacion fisica, puedo acompañar a un nene con retraso madurativo? o tengo q ser acompañante terapeutico?
Hola! Soy Psicopedagoga y quisiera saber como maestra de apoyo de doble jorjada (40 hs semanales) cuál es el monto que debería percibir según el nomenclador? Muchas gracias
hola trabajo como maestra de apoyo y cobro el modulo de maestra de apoyo mi pregunta es cual es la cantidad de horas semanales que cubre por ley el monto que se cobra y donde puedo encontrar esa resolucion que me diga que cantidad de horas cubre el modulo maestro de apoyo gracias
Me podrias decir el valor Km. Septiembre 2017 con dependencia.
Gracias
Hola
Quisiera saber quienes pueden trabajar como maestras de apoyo y si es cierto que la figura del AT ya no se puede usar.
Gracias
Buenas,
Por lo que veo, hay muchos que realizan la tarea de A.T. y todos tenemos el mismo problema de no saber cuanto hay que facturar, hay un vació importante, hay lugares que pagan hoy en día unos 80 pesos la hora, y ellos facturan como equipo de apoyo a la integración una gran diferencia. En mi caso, ( 4 hs diarias en escuela) presente un presupuesto a la obra social, lo rechazaron y luego ellos me llamaron diciendo cuanto me iban a pagar por hora. (Yo acepte, paga mas negociando directamente con la obra social, que los que te ofrecen los centros por realizar el mismo trabajo).
Saludos
Buenas,mi consulta es cuantas horas hacen un modulo de maestro de apoyo.
Me gustaría saber Si un niño tiene integración escolar le corresponde maestra de apoyo.
Hola, Soy Profe de Educ. Esp, estoy por acompañar a un niño dos horas en la Escuela y dos horas en la casa. Mi pregunta es en que modulo me encuandro en el presupuesto?, como Maestra de apoyo o Modulo de Integracion escolar. porque son dos montos distinto Maestra de apoyo $10.926- y el otro es de $18.726. Muchisimas gracias!
Hola me urge maestra integradora o prof.en enseñanza diferenciada o LIC.en ciencias de la educación es para 1año de secundaria
Hola, quisiera saber la carga horaria que cubre el módulo de maestro de apoyo, sé que el mínimo es de 20 hs, pero quisiera saber el máximo de horas que cubre (hago una integración de 30 hs semanales)
Quiero saber lo mismo que vos. Cuantas horas equivalen a un módulo?
SI SE ME APRUEBA EL MODULO DE MAESTRO DE APOYO Y TRAAJO 80 HORAS SEMANALES DE JORNADA ESCOLAR COMPLETA, CUANTO DEBIERA FACTURAR? EN QUE RESOLUCION O DISPOSICION LEGAL ESTAN ESCRITAS LAS HORAS QUE CORRESPONDEN POR MODULO DE MAESTRO DE apoyo?
Hola me pueden acesorar como paga swiss medical a la maestra integradora por modulo de apoyo por la mañana y por la tarde si pagan las cuatro horas que el nene esta en la escula y la hora que lo atiendo en casa
Hola voy a empezar como orientadora de sala en un centro quería saber cuanto debería cobrar según nomenclador. Jornada simpple
Buen día, quisiera consultar si un niño que tiene el Modulo de maestra de apoyo le corresponde también el Modulo de apoyo a la integración escolar. Tiene además sesiones de fonoaudiología, sicopedagogía y terapia ocupacional
hola!, buenas tardes, una consulta: para el caso de que se contrate un licenciado en psicologia en un centro educativo terapéutico, como personal en relación de dependencia, para desempeñar tareas como orientador terapeutico, para la atención de niños con discapacidad, existe un convenio vigente y en su caso, una escala salarial?
Hay una ley que regule al respecto? o convenio?, somos de Chaco.Gracias
Cual es monto por sesion de psicologia que reconoce por nomenclador para pacientes con discapacidad
Claudio: ahí cargamos los aranceles actualizadosn el Dic-2018. Muchas gracias
Buenas tardes! Quisiera saber cuanto está el valor/hora de un acompañante terapéutico en la provincia de Córdoba. Aguardo comentarios. Gracias.
Buenas tardes,cuál es la carga horaria que cubre el módulo de maestro de apoyo.
Quiero tomar una integración y son 80 horas mensuales que trabajaría. En qué me guío para facturar ésas horas.
Gracias
Hola acompaño a un alumno con discapacidad en integración, mi consulta es por cuál es la carga horaria mínima mensual que estabablece la resolución de la superintendencia de servicios de salud y si la obra social debe o no pagarme viáticos. muchas gracias
Hola!!! Buenos días!! yo presto servicio de la prestación modulo maestro de apoyo y quería saber que resolución es la que me avala para poder facturar los meses de Julio y Diciembre en forma completa, que es donde se encuentran con vacaciones los chicos. Por lo que tengo entendido las obras sociales deben pagarlo completo esos meses. Es así?? y si puede ser la resolución para llevarla impresa por favor..gracias!!!