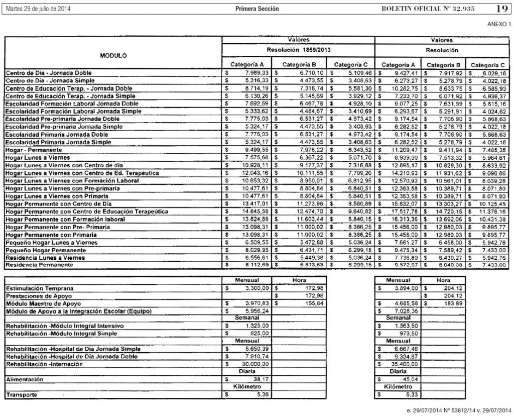
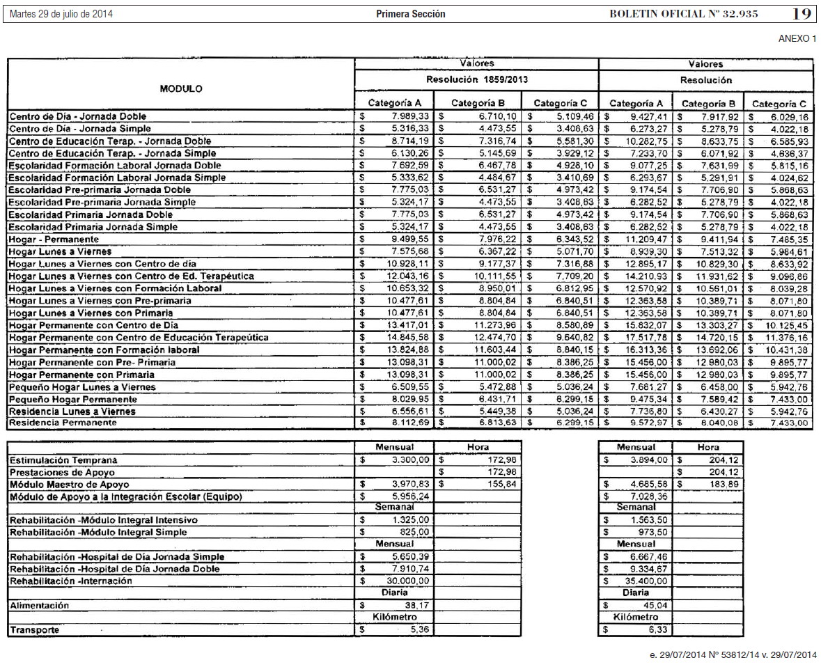
Se dió a conocer, en el Boletín Oficial del día 29/07/2014, la Readecuación aranceles vigentes del Sistema de Prestaciones Básicas de Atención Integral a favor de las Personas con Discapacidad, a través de la Resolución 1151/2014, que comienzan a regir a partir del 01 de Julio de 2014.




ESTA MUY BUENA LA NUEVA RESOLUCION, LASTIMA QUE NO PUEDO IMPRIMIRLO EN TAMAÑO OFICIO, NO ME SALE LA CATEGORIA C, SI ES POSIBLE PUBLICARLO DE MODO QUE SE PUEDA IMPRIMIR EN TAMAÑO MAYOR
OK GRACIAS, MI HIJA ES MARIA VICTORIA DE 11 AÑOS DE EDAD, ES DOWN, PERO ES EL ANGEL DE LA CASA, SALUDOS
La obra social me reconoce por fonoaudiologia para mi hijo $ 172,98.- queria saber si a partir de las sesiones de Agosto corresponde otro monto. Gracias y saludos. Ariel
Ariel: corresponde el nuevo arancel, retroactivo a la vigencia del nuevo valor.
Saludos
Hola quería saber a que módulo pertenecen las casas de medio camino que residen a personas de lunes a lunes y cual sería el monto que debe cobrar un acompañante terapéutico que trabaja ahí.muchas gracias.saludos!!
hola queria saber que son las categorias, a que se refiere
Está relacionado con las características del centro (ejemplo : edilicias , prestaciones que ofrece , etc .).
HOLA. QUISIERA SABER CUANTAS HORAS POR DÍA CUBREN LAS OBRAS SOCIALES PARA INTEGRACIÓN ESCOLAR. GRACIAS.
bueas tardes, quisiera saber hasta cuando tiene vigencia esta resulucion
Desde ya muchas gracias
Alberto: en principio rigen este año y hasta una nueva resolucion, que no sabemos si saldrá en marzo 2015 (o después), o habrá alguna actualización antes.
Muchas gracias
Hola soy at matriculada y necesito saber en q categoría me encuentro? Realizo integración escolar 5 hs al dia!!
Ana: el AT no está estipulado cuanto cobra. En gral. pagan a un equipo de trabajo, que presenta un plan y, dentro de ese equipo está incluido el AT, pero no se cuanto se le paga.
Saludos
Guillermo.
Hola…Queria saber si la tartamudez que tipo de dspacidad o transtorno se considraria.
Existe alguna ley que oblique ala obra social a cubrir el 100% de los gastos de fonoaudologia y Sesiones Psocilogicas?
Hola quisiera saber cuanto paga un ayudante terapeutico de una nena con discapacidad la obra social iose
Hola Silvana:
el acompañamiento terapeutico no está regulado. Siempre se incluye ese servicio, dentro de un equipo de trabajo y alli lo cubren, pero por si solo, que yo sepa, no tiene un arancel.
Muchas gracias
Mi hijo tiene autismo y reqiere acompañante terapeutico y deseo saber cuanto es el arance a pagar por hora y cuantas horas diarias se puede solicitar a la obra social
Hola por favor necesito asesoramiento para conocer costos para pagar acompañante en mi casa para mi padre.Soy de Casa Grande Cordoba. No puedo entender la planilla de aranceles.gracias
consulta, novedades de nuevos aranceles?
Hola tengo una duda y no se si este es el lugar pero la búsqueda me trajo aquí…..tengo un bebe con Prader Willi de 10 meses…hace dos meses obtuvimos el carnet de discapacidad y resulta que ahora la obra social pretende que por una cuestión de presupuesto el grupo interdisciplinario (fono, kinesióloga, psicóloga) reduzcan sus sesiones u honorarios para poder agregar de ahora en mas a la estimuladora temprana…o sea…me parece una barbaridad que ellos pasen por sobre encima de lo dispuesto por el médico pediatra y el grupo interdisciplinario!! Según ellos es porque el modulo de estimulación temprana no puede sobrepasar los $4.000 mensuales….alguien más o menos me puede explicar?
Están violando una Ley Nacional y Tratados Internacionales de Jerarquía Constitucional que así lo disponen. Las prestaciones deben ser sin limite ni topes desde el momento de que tiene un Certificado de Discapacidad. Acércate a un Abogado y hace una Acción de Amparo. En 48 horas lo resuelven y nunca mas volves a tener un problema. Teneindo el Certificado de Discapacidad al Amparo te lo pueden tramitar directamente sin costos en una Defensoria Publica del Tribunal que corresponde a tu ciudad.
Hola, necesito tener una idea aproximada de lo que cobra un AT, vivimos en Santa Rosa La Pampa. Muchas gracias
Hola Guillermo:
el acompañamiento terapeutico no está regulado. Siempre se incluye ese servicio, dentro de un equipo de trabajo y alli lo cubren, pero por si solo, que yo sepa, no tiene un arancel.
Muchas gracias
Hola como seria que entra dentro de un equipo de trabajo ?? cuanto es lo que debe ganar realmente ? esta dendro del cuadro el arancel estipulado ? Me surge la misma duda que guillermo g
gracias por la respuesta. Mi hija va a un centro educativo terapeutico cubierto por la o.social, pero necesitariamos el acompañante terapeutico 3 horas antes de que concurra al centro. A mi entender son dos cosas distintas, en la obra social me dieron un formulario a completar por los profesionales y debo hacer como titular una nota, luego pasan todos los papeles a auditoria para su aprobación o no.
Hola, buenas tardes, tengo una hija con mielomeningocele y asis te a sesines de rehabilitación, me reintegran por sesiones de kinesiología $180, es lo que corresponde?
¿cómo hago para que me reintegren el valor sur?
Buenas tardes: Quiero saber si las prestaciones de Psicopedagoga Clínica en consultorio particular han sufrido algún aumento. A la fecha se cobra $204,12
No. En octubre 2014 pasó a $221.
Hola!Algun@ tiene idea de cómo se pasa la prestación integración escolar cuando es un monto que supera lo estipulado que seria el modulo de 8hs.
Quiero saber aranceles de asistente terapéutico
Hola Jorgelina: según lo que yo tengo entendido, los AT no estan arancelados directamente. Siempre van dentro de un equipo, como parte de la prestacion.
Hola! Quisiera saber cuánto se está cobrando aproximadamente la sesión de fonoaudiología actualmente de manera particular. Muchas gracias.
Hola.. Quisiera saber cuanto se está cobrando la hora del acompañante terapéutico. Gracias
buenas tardes,, queria hacer una consulta. trabajo en un centro educativo terapeutico a cargo de una sala … de lunes a viernes 3 hs todos los dias.. cuanto deberia estar cobrando?
no entiendo eso de los aranceles..
muchas gracias.
hola nesesito saber cuanto se cobra para acompañante de abuela hacerle cambio de pañales hace 5 meses que estoy trabajando me corresponde aguinaldo en enero? o ahora en diciembre ‘?
No se como te lo paga la obra social actualmente. Si es por Prestacion de apoyo, el valor actual es de $ 282,88 y a partir de febrero $289,51.
No corresponde aguinaldo porque es una prestacion en particular. A menos que sea un trabajo en relacion de dependencia, con aportes y contribuciones.
Eso es lo que a mi me parece.
Saludos
hola. yo soy asistente terapeutica de una chica en silla re ruedas. mi trabajo consiste desde levantarla de la cama, bañarla, darle de comer, hasta llevarla a trabajar, canto, natacion (entrando c ella en la pileta), quedarme (a veces) a dormir en la casa y a veces acostarla e irme a la mia. la obra social me paga $53 la hora. ¿es lo que corresponde? ¿hay aguinaldo? si me pueden ayudar a saber si me pagan lo q vale les agradezco. gracias
Hola. Quisiera saber cuanto debo cobrar como AT, de lunes a viernes de 22 a 8. Los feriados me pagan normal. El señor que cuido no puede vivir sólo. Tiene varios problemas de salud. Entra otras operaciones esta operado de la cadera y después ahora está en reposo porque se cayó y el expansor se le movió y se astilló. Gracias
Hola! Una pregunta, en marzo comienzo a trabajar en un centro como acompañante externo en turno mañana y turno tarde, y me dijeron que se paga por nomenclador por eso queria asesorarme bien ,mi pregunta es cuanto tendria que cobrar por cada turno?
Trabajaria de lunes a viernes y en escuelas
Perdon me falto aclarar que trabajaria de lunes a viernes y en escuelas
Quisiera saber en que categoria y que modulo corresponderia a un Acompañameinto Terapeutico de 25 horas semanales en la escuela y terapias. para poder hacer la presentacion ante la obra social.
Gracias
Hola quisiera saber cuanto se cobra el modulo de profesora de arte en un centro terapeutico Tea por nomenclador muchas gracias!!
necesito saber cual es el arancel para un acompañante terapeutico por hora muchas gracias
Hola que tal, quisiera saber si el Acompañante Terapeutico puede trabajar individual y cuanto debería cobrar mas o menos la hora. Y para trabajar en algo interdiciplinario con quién debo hablar, desde ya muchas gracias!
Hola me dijeron que si no facturó de mas , después pierdo el retroactivo si llega a aumentar, es cierto? Están pagando 65 la hora a los at escolares?
Hola, quisiera saber cuanto cobran la hora los A.T y si a la hora de facturar debo aumentar el monto debito a la demora de las obras sociales. Gracias
Micaela: los honorarios de los AT no están regulados. Depende de cada caso/equipo en donde se trabaje.
Saludos